2023-08-07 阅读量:33769

在过去数十年的时间里,基因治疗作为一种颠覆性治疗技术,得到飞速发展,目前已有多种新药获得FDA批准上市,上千个临床实验正在实施。在各类基因治疗载体中,腺相关病毒(adeno-associated virus , AAV)载体被认为是一种最高效、最安全的基因治疗载体。腺相关病毒有多种血清型,不同血清型对组织器官的嗜性各有不同。利用腺相关病毒在不同器官进行基因表达时,选择合适的血清型非常重要,会实现更稳定高效的基因表达效果。小编在这里给大家推荐 Joseph E Rabinowitz等人发表的文章,该文总结了1-9血清型AAV病毒在小鼠体内表达的特点及靶向性,为大家日后自己的实验设计提供参考与借鉴。
目前已经鉴定出不同血清型的AAV,所有血清型的AAV均为无包膜的单链DNA病毒,都具有类似的基因组大小,相似的结构和功能。AAV血清型1-9的病毒衣壳蛋白中氨基酸的一致性为45%。然而由于病毒注射方式不同AAV病毒感染的靶器官差异也比较大,而且即便使用相同的注射方式,不同血清型的病毒感染的靶细胞也不尽相同。为了更好的研究不同血清型病毒载体的差异,应采用相同的病毒注射方式,在不同的时间点去研究载体基因的动力学特点、表达水平和器官靶向性。
首先研究人员将荧光素酶报告基因整合到不同血清型的AAV病毒中(1型到9型),然后通过尾静脉注射的方式将1-9型的AAV病毒注入小鼠体内,在注射后的第7、14、29、56、100天和9个月对小鼠进行荧光成像。随后将小鼠处死后取不同的组织器官,检测荧光素酶的表达和病毒基因组的拷贝数。
在检测荧光素酶表达活性的实验中,根据不同血清型的荧光素酶活性大致可以分为3组:低表达组(AAV2、3、4、5),中表达组(AAV1、6、8)和高表达组(AAV7、9)。注射AAV2的小鼠在100天的时候出现表达峰值,随后降低。注射AAV4和AAV5在9个月的时候出现表达峰值,而AAV3在100天的时候出现表达峰值,随后一直稳定表达。AAV1和AAV6在观察时间内一直缓慢增加,而AAV8在注射病毒后的56天出现峰值。在高表达组中,AAV7在56天出现峰值,随后一直稳定表达,而AAV9在100天达到峰值,随后表达降低。

Figure 1. 不同血清型AAV病毒载体注射后荧光素酶表达活性
荧光素酶的表达分布检测实验中,在低表达组中,AAV2、3和5在腹轴上的定位模式相似,都表达在上腹部和后肢区域。然而,AAV4表达局限于胸腔。在中表达组中,AAV1和6虽然都在腹轴的胸部、腹部及后肢和背轴后躯肌表达,但是表达偏好不同。AAV1似乎偏向上腹部,而AAV6显示出对胸腔的偏好。AAV8具有独特的表达模式,表达在后肢,下腹部及上胸部。高表达组中,AAV7和9都在上腹部有很强的定位,且AAV9在全身具有更广泛的表达分布与AAV9相比,AAV7没有在上胸部和头部表达。此外,AAV9在背部后躯也有强的表达。
Figure 2. 注射不同血清型AAV病毒的荧光素酶活体成像
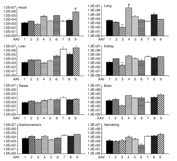
为了进一步分析不同AAV血清型的转导效率,作者检测了不同组织中的荧光素酶活性。在低表达组中,AAV2在肝脏组织中表达最强,这种转导水平分别是腘绳肌和心脏的26倍、30倍。AAV4主要表达于心脏,其次是肺,而AAV5表达较低,且仅局限于肝脏组织。在这组中,AAV3显示最低表达水平,主要在心脏和肝脏。在中等表达组,AAV1主要在肝脏表达,其次是心脏和后肢骨骼肌。AAV6在心脏表现出高的酶活性水平,这种转导分别比在气管肌和肝脏中观察到的水平高2.7倍和4.7倍。尽管在肺中也观察到荧光素酶蛋白表达,但其表达水平比在心脏中观察到的低约10倍。AAV8介导的荧光素酶表达主要局限于心脏,然后是腓肠肌、腘绳肌和肝脏。在高表达组中,AAV7和AAV9都主要表达于肝脏。两种血清型都在后肢骨骼肌中具有高表达。此外,AAV9在心脏中的表达高于AAV7。

Figure 3. 不同血清型AAV病毒荧光素酶在各种器官的表达
实时荧光定量检测不同器官病毒基因组拷贝的试验中,低表达组病毒中,AAV3病毒的基因组拷贝数在任何组织中均不超过104/μg,AAV2仅在肾脏和腓肠肌中超过104个拷贝数,AAV5在脑、肾和肺中超过104个拷贝数。而AAV4病毒在肾脏、脑与腓肠肌中均超过104个拷贝数,在心脏中超过105个拷贝数,在肺中超过106个拷贝数。在中表达组病毒中,AAV1在任何组织均不超过104个拷贝数,AAV6在肝和脑中超过104个拷贝数,在心脏超过105个拷贝数;AAV8在腓肠肌、肾脏和大脑及腘绳肌中超过104个拷贝数,在肝脏和肺中超过105个拷贝数。在高表达组病毒中,AAV7在肾脏、腓肠肌和睾丸及腘绳肌中表达大于104个拷贝数,在肝脏中大于106个拷贝数;而AAV9在除了附睾和肺以外的所有组织中均大于104个拷贝数,而在心脏中超过105个拷贝数,在肝脏中超过106个拷贝数。

综上,本文作者通过尾静脉注射研究不同血清型AAV病毒的时空表达的特性,这些结果有助于在不同实验需求中选用特定的血清型病毒,并为在大型动物实验中使用AAV血清型病毒研究提供了重要的实验基础。
图片来源:Mol Ther
原文链接:DOI: 10.1038/mt.2008.76
*说明:血清型对应的组织亲和性来自文章报道。不同动物,不同注射途径,相同血清型的组织亲和性存在一定差异,上表供参考。
表2. 靶向不同的器官及组织推荐使用对应血清型AAV及注射方式

*血清型:同一位置选择不同注射方式,所适用的血清型会存在差异;以上数据大多查阅文献所得,仅供参考。

图1 不同血清型在人与动物中的组织亲和性

市场:027-65023363 行政/人事:027-62439686 邮箱:marketing@brainvta.com 客服:18140661572(活动咨询、售后反馈等)
销售总监:张经理 18995532642 华东区:陈经理 18013970337 华南区:王经理 13100653525 华中/西区:杨经理 18186518905 华北区:张经理 18893721749
地址:中国武汉东湖高新区光谷七路128号中科开物产业园1号楼
Copyright © 武汉枢密脑科学技术有限公司. All RIGHTS RESERVED.
鄂ICP备2021009124号 DIGITAL BY VTHINK